Olympic-sized boost for tourism a boon for management rights deals
Over a long career in hospitality, Winston Hall managed properties across Queensland, northern NSW, the Northern Territory, New Zealand and Hawaii, working for Mantra Hotels and Resorts and later Accor after it took over the company.
Travel was a big part of his roles as operations vice president and regional manager and at the height of his career, he was overseeing 72 properties. So when Hall started his second family, the 52-year-old re-evaluated his career and what he wanted to focus on in the next decade of his life.
“I live on the Sunshine Coast. It’s a fabulous part of the world, and I didn’t really want to leave it too often,” he told The Australian Financial Review. “Thinking what I know best, clearly it is management rights. I’ve been in the game for 25 years or so.”
With the help of Mike Phipps Finance, Hall started his management rights business, Seabreeze Resorts, in 2023, putting together a syndicate of investors. Just over two years later, he’s assembled a portfolio of seven Queensland properties across the Sunshine Coast, Brisbane and the Gold Coast for the investor syndicate.
Management rights are long-term contracts for caretaking and property letting duties across apartment buildings, holiday rentals and townhouse complexes. Owners of management rights often own a unit in the building as well.
Their responsibilities can include cleaning pools or vacuuming shared spaces, with the businesses deriving income through strata levies paid by apartment owners. Property management fees can also be earned by leasing out a unit either as a short-stay or long-stay accommodation.
Seabreeze Resorts helps manage the investment of the owners of the apartments in each of their properties as well as engaging with the body corporate of each building to provide caretaking services, such as maintaining the building’s common areas.
While the core of Hall’s business is centred around short-stay accommodation, it has about 50 permanent rentals across its portfolio.
The management rights industry has been around for about 40 years. It began in Queensland during the high-rise boom on the Gold Coast, and is concentrated among small business owners. About two-thirds of the industry is run by hands-on owner-operators.
Hall said the outlook for Seabreeze Resorts was very positive, especially ahead of the 2032 Brisbane Olympics and the level of construction happening across Queensland, which is pulling interstate and international workers into the state, boosting demand for accommodation.
“If you’re in the management rights industry, and looking after a permanent rental complex, you’ve got high demand from renters coming into the region for the purposes of work,” he said. “The Olympics is a significant driver of this industry over the next 15 years.”
“Certain banks tend to look quite favourably on the management rights industry.”
Josh Mandelson, head of research, ResortBrokers
Investor syndicates, such as Seabreeze Resorts, are showing interest in the management rights industry, attracted by tourism demand ahead of the Olympics.
The sector is estimated to be worth $8.4 billion, considering every sale since 2022, according to the specialised real estate agency, ResortBrokers’ annual Management Rights Report, with big brands such as Choice Hotels, Meriton, Mirvac and Accor operating within the industry.
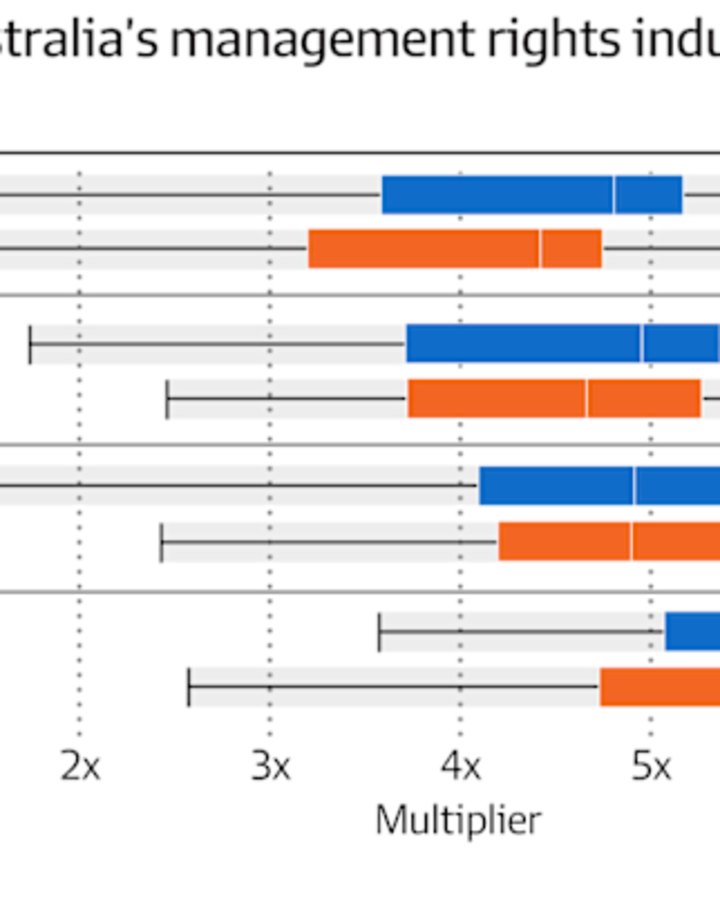
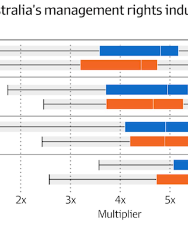
Management rights are typically purchased on a value based on a multiple of net profit.
Brisbane was the most active market in the management rights industry in the 2025 financial year with 127 sales. One of the biggest transactions was the sale of management rights to the 445-unit Hamilton Harbour Residences in Hamilton with a net profit of $1.007 million on a 6.87 multiple.
On the Gold Coast, there were 87 sales across the financial year. The most popular investments were in management rights that generated incomes below $200,000 net income band, accounting for 55 per cent of sales – up 3 per cent on the previous financial year.
Josh Mangelson, report co-author and head of research at ResortBrokers, said the majority of complexes achieved a net income profit within the sub-$200,000 band, especially for older-style apartment buildings and townhouse developments.
“Even from a new development perspective, if you’re looking at business only, off the plan management rights, there won’t typically be a high proportion of letting in newer builds,” he told the Financial Review. “A lot of stock that’s being built by developers now isn’t investor grade. It’s owner-occupier focused.”
Outside of Queensland, there were just 19 sales in the 12 months to July. The largest proportion of sales occurred above $600,000 net income, which in the previous financial year was the smallest proportion of sales.
Looking for opportunities
“On the flip side, that corporatised buyer and syndicates that are really active in the core South East Queensland markets are just looking further afield for similar opportunities,” Mangelson said.
“There obviously aren’t heaps of buildings outside of Queensland, but there’s still great opportunities for those kinds of buyers, especially when you consider that the returns are even better in regional Queensland or interstate.”
Mangelson said the increasing corporatisation of the industry was in part due to the ongoing hunt for alternative asset classes with strong returns that still allowed for reasonable loan-to-value ratios.
“Certain banks tend to look quite favourably on the management rights industry in this regard,” he said. “As the industry continues to gain exposure, it has become more attractive for both corporatisation as well as syndication.
“A number of buyers now syndicate into larger assets and run them under management rather than operating a smaller business themselves.”







